ZSILKA
TIBOR
NÉGY NOVELLA STILISZTIKAI
ELEMZÉSE STATISZTIKAI MÓDSZERREL
1. A XX. századi irodalom
fejlődésének egyik jellegzetessége az, hogy a prózai alkotások stílusa – különösen
a rövidebb műfajoké – a költészet bizonyos tulajdonságait, poétikus jegyeit
veszi fel. A próza „lírizálódása” eléggé általános
fejlődési folyamatnak tekinthető, mégpedig attól az időtől kezdve, midőn a
klasszikus értelemben vett realista ábrázolásmód innoválódási
lehetőségei mind tematikai, mind nyelvi szinten kimerültek és automatizálódtak.
Ezzel egyetemben vagy ezt megelőzően a kor is más igényeket támasztott az
irodalommal szemben; ez oknál fogva az íróknak új témákat és új kifejezésmódot
kellett keresniük, hogy az olvasóra hatni tudjanak, s hogy felkeltsék az
érdeklődését. A próza fokozatos „lírizálódása” is e
követelményekkel, a megváltozott ízléssel, (olvasói) elvárással és igényekkel
függ össze; ugyanakkor magában az irodalomban a lírai kifejezésmód és hangvétel
elterjesztése a prózában főképp az epikai műfajok szubjektivizálódásával
magyarázható, abból vezethető le. A szubjektivizmus felerősödése ugyanis
líraiságot indukál; s így általában a prózai szövegeket is költőivé színezi.
Köztudomású
az is, hogy a költészet, a költői nyelv egyik alapvető sajátossága az
ismétlődés, mert hiszen maga a ritmus, a rím, az eufónia stb. valójában mind az
ismétlődés megnyilvánulásai, egyes válfajai, annak konkrét megjelenési formái1. Fónagy Iván Freud
nyomán kifejtette, hogy a szubjektum felől az ismétlődés egy régebbi állapot
helyreállítására, az élettel egyidejűleg adott belső feszültség feloldására
irányuló törekvés2. Maga a feszültség kontraszt formájában jelentkezik; s az
esztétikai érték is e kontrasztból származik, vagyis a kontraszt
hitelességének, hatásosságának, intenzitásának és polarizáltságának az
eredménye, egyenes következménye3. Eszerint a prózai szöveg „lírizálódása”
abban gyökerezik, hogy az író a cselekménynek nemcsak egyszerű ábrázolója,
külső szemlélője és leírója, hanem egyúttal részese is. Ennek következtében az
író ÉN-je valamilyen módon beleplántálódik a MŰ-be, az alkotás tematikai és nyelvi összetevőibe. A
„beleplántálódás”, illetőleg a hősökkel való azonosulás gyakori módja az, hogy
a szövegben felerősödik a bühleri kifejező funkció az
ábrázoló funkcióval szemben.
A prózában
ez mindenekelőtt ritmust eredményezhet; ennélfogva a ritmus a szöveg releváns
tulajdonságává válhat, amit az olvasó ösztönösen vagy tudatosan szintén
érzékelhet, percipiálhat. Persze, a ritmus nem az egyedüli élményforrás. Az
olvasó érdeklődésének a felkeltésében nagy szerepe lehet a variabilitásnak is,
vagyis annak, hogy a szöveg nem monoton, hanem mind tematikai, mind nyelvi
szinten nagy változatosságot mutat. A változatosság egyik hathatós módja az is,
ha az író a szövegben megfelelően variálja és kombinálja a hosszú és a rövid
mondatokat.
Amikor
Krúdy Gyula Utolsó szivar az Arabs szürkénél,
Kosztolányi Dezső Caligula, Móricz
Zsigmond Barbárok és Nagy Lajos Január novelláinak a statisztikai
elemzéséhez hozzáfogtunk, elsősorban a fentebb említett részletkérdések
felfedését, illetőleg tisztázását tűztük ki feladatként magunk elé. A
kibernetika szerint ugyanis végső fokon nehéz elvégezni a bonyolultabb
rendszerek komplex, mindent kimerítő elemzését; viszont valamely jelenség(ek) tüzetes és teljességre törekvő vizsgálata olyan
eredményeket hozhat, amelyek elősegíthetik a rendszer hatáserejének a
megértését, a strukturális együtthatók funkciónálásának
a feltárását4. Elöljáróban mégis érdemes lesz leszögezni: elemzésünk elsősorban
nyelvstatisztikai elemzés, amit azért szükséges külön hangsúlyozni, mert a
szépirodalmi művek interpretációja során – különösen próza esetében – a
tematikai szintet tartjuk fontosabbnak, primérnek. De
azért egyáltalán nem mindegy, hogy milyen szegmentális
vagy szupraszegmentális nyelvi elemek realizálják a témát.
Statisztikai
kutatásunk és vizsgálódásunk eredményeit négy táblázatban foglaltuk össze. A
továbbiakban e táblázatok alapján próbáljuk megmagyarázni a négy novella
jellegzetes stílussajátosságait, s természetesen a számadatokból megfelelő
következtetéseket és tanulságokat vonunk le a novellák stílusát illetően.
2. Ahhoz, hogy a prózában a ritmus
relevánssá váljék, a szövegnek olyan tulajdonságokat és sajátosságokat kell
tartalmaznia, amelyek a költészet felé, a költészet irányában inklinálnak. E
tulajdonságok és sajátosságok közül külön figyelmet érdemel a szavak
szótaghosszának az átlaga, amelynek számértéke a költeményekben általában
kisebb, míg a prózában nagyobb. A ritmus előidézéséhez, a ritmikai impulzus
indukálásához és kiváltásához ugyanis a rövid szavak jobban megfelelnek, mint a
hosszúak. Ebből a tényből kiindulva vizsgáltuk meg a négy novellából
kiválasztott szövegrészekben a szavak hosszának a számtani középértékét (i).
Ezzel
egyetemben a szavak, illetve szóalakok hosszúságuk szerinti váltakozását, a
váltakozás dezorganizáltságának a mértékét is kiszámítottuk az
információelméletben használt képletek segítségével (1. táblázat)5.
2.1. A táblázatban a Krúdy Gyula és a
Kosztolányi Dezső novellájára vonatkozó eredmények nemcsak hasonlóak, hanem a
szavak szótaghosszának a számtani középértéke (2,33) és az egyes szótípusok
alapján kiszámított maximális entrópia (H0 = 2,8059) teljesen azonos
mind a két író művében. A szövegek dezorganizáltságának az összehasonlítására
azonban elsősorban a viszonylagos entrópia eredményei szolgálnak. Éppen ezért
fontosabb számunkra az, hogy a két novella viszonylagos entrópiája és
redundanciája között csak csekély, minimális eltérés észlelhető. A táblázat
továbbá arra is fényt derít, hogy az előző két író eredményeivel szemben Móricz
Zsigmondnál és főleg Nagy Lajosnál a redundancia értéke emelkedik a
viszonylagos entrópia rovására. Ezek íz eredmények azt bizonyítják, hogy a Barbárok és a Január c. novellák szótípusainak a váltakozása rendezettebb, előre
meghatározottabb, tehát redundánsabb, mint a Krúdy-, illetve
Kosztolányi-novelláé. Ez azonban még önmagában nem lenne fokmérője a szöveg
poétikus voltának, költői jellegének, amely az ismétlődésen alapszik, vagyis
többé-kevésbé az adott szöveg strukturális eszközeinek, komponenseinek a
redundanciájában gyökerezik. Fontos számadat ilyen szempontból a szavak
hosszának számtani középértéke. A táblázat szerint a Móricz Zsigmond stílusáról
kapott eredmény (i = 1,97) lényegesen kisebb, mint a többi három íróé; sőt
olyan eredmény ez, amely elsősorban a költészetre jellemző. így a
Móricz-novellának e sajátossága összefüggésbe hozható a szöveg empirikusan és
intuitíve is érzékelhető ritmusosságával. A ritmusnak a Barbárokban valóban
domináns szerepe van, s nem kis mértékben determinálja a novella hatóerejét és
esztétikumát is.
2.2. A párbeszédek vizsgálata kissé más
eredményeket hozott, de a Krúdy-Kosztolányi párhuzam itt sem bomlik meg. Nem
éppen véletlen az sem, hogy a Caligula
c. novella párbeszédeinek az átlaga szerfelett magas szám; ennek oka egyrészt
Kosztolányi intellektualizmusában, másrészt minden bizonnyal magában a témában
leledzik. Ti. Kosztolányinál a párbeszéd hellyel-közzel intellektuális szintű
monológgá alakul át; itt főként Caligula Cassiusszal
folytatott beszélgetésére gondolunk, amelynek a téma kifejtésében is nagy
jelentőséget tulajdoníthatunk. Alkalmasint ezekkel az okokkal magyarázható a
redundancia csökkenése is, ami a viszonylagos entrópia (h) növekedését vonja
maga után. Ami meg a Móriczcal kapcsolatos eredményeket illeti, megfigyelhető,
hogy az ő párbeszédeiben a szavak átlaga teljesen a költészet szintjére csökken
le. Az író így a juhászok mentalitását nemcsak szűkszavúságukkal igyekszik
jellemezni, hanem egyúttal, ezzel párhuzamosan a rövidebb szavak fokozottabb
alkalmazásával is a párbeszédekben.
3. A szavak szótaghosszával
kapcsolatos vizsgálódásunk hiányos és hézagos lenne, ha az egyes szótípusokra,
tehát az 1, 2, 3 .. n szótagból álló szavakra eső megterheltséget nem vennénk
figyelembe, illetve mellőznénk6. Ezekből az eredményekből szintén érdekes tanulságok adódnak s
következnek (2. táblázat). A táblázat alátámasztja és megerősíti előző
állításainkat a novellák stílusára vonatkozólag. Kiváltképpen akkor igaz ez, ha
megintcsak az empíriából indulunk ki, arra
támaszkodunk. Itt újra érdemes leszögezni: a szöveg ritmikai impulzusának a
kialakításában a rövidebb szavak frekvencia-növekedése roppant nagy szerepet
játszik. Rövidnek számítanak az 1, 2 és 3 szótagot tartalmazó szavak, illetve
szóalakok, hiszen a közismert verslábak (jambus, trocheus, spondeus,
anapesztus, daktilus) nem haladják meg a 3 szótagot7. Éppen ezért szükséges azt is megvizsgálni és
kiszámítani, hogy a négy írónál az 1, 2 és a 3 szótagú szavak a kiválasztott
korpuszoknak hány százalékát teszik ki. Ilyen eredményeket kapunk:
|
Krúdy Gyula |
82,01% |
|
Kosztolányi Dezső |
81,89 % |
|
Móricz Zsigmond |
90,42 % |
|
Nagy Lajos |
86,34 % |
Párbeszéd:
|
Krúdy Gyula |
85,43 % |
|
Kosztolányi Dezső |
81,71 % |
|
Móricz Zsigmond |
94,44 % |
Az
eredmények láttán szinte magától adódik a tanulságlevonás: Krúdy Gyula stílusa
ilyen alapon a Kosztolányi Dezsőével, míg Móricz Zsigmondé a Nagy Lajoséval
konvergens. Így a négy novella indexszámai olyan oppozíciót szignalizálnak,
amelynek egyik tagját a kevésbé ritmikus szövegek (Krúdy-Kosztolányi), a másik
tagját meg a ritmikusabb, ritmikailag relevánsabb szövegek (Móricz-Nagy
Lajos) alkotnák. Ám ez a következtetés egyelőre nem egészen helyénvaló,
túlságosan korai, mert még nem esett szó az írók stílusának mondattani
sajátosságairól. Fontosnak látszik a statisztikai vizsgálódást kiterjeszteni a
mondat szintjére is.
4. A mondat a prózában – természetesen
bizonyos megszorítással és fenntartással – végső fokon ugyanazt a funkciót
töltheti be akusztikailag, mint a költészetben a verssor. Persze, ez csak akkor
igaz, ha a próza ritmusa érzékelhető, stilisztikailag releváns. Ugyanakkor a
mondat szintjén is érvényes, hogy a ritmus érzetét főképpen a rövidebb mondatok
fokozottabb alkalmazása keltheti; a szöveg ily modem válhat dinamikussá,
ritmusossá8. Ennek folytán a mondatok számtani középértékének törvényszerűen
csökkennie kell9. – De a mondatok számtani középértékének a kiszámítása még nem
elegendő ahhoz, hogy a szöveg szintaktikai jellegzetességeit teljes mértékben
sikerüljön felfedni. Hogy ismereteink e téren is minél tökéletesebbek,
gazdagabbak s alaposabbak legyenek, szükséges kiszámítani a mondatok hosszának
a kilengését, az átlag fölé emelkedő vagy az átlag alá süllyedő eltolódásuk,
vagyis szétszórtságuk mértékét; Erre szolgál a szórásnégyzet, a szórás,
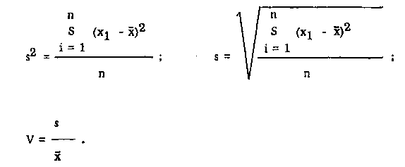
valamint a variabilitás kiszámítása (3. táblázat)10.
4.1. A táblázat egészen más oppozíciót sejtet,
mint az előzőek, tehát a szavak hossza, entrópiája és redundanciája, valamint
az 1, 2 és 3 szótagból álló szavak frekvenciája alapján felállított
szembeállítás volt. Krúdy Gyula ugyanis hosszú mondatai által olyannyira
elkülönül a számadatok alapján a többi három írótól, hogy ez az eltérés markáns
és elütő stílussajátosságot szignalizál. Kosztolányi
Dezső, Móricz Zsigmond és Nagy Lajos mondatait átlagban 10-11 szó alkotja,
holott Krúdy Gyula novellájában 22 -23 szó esik egy mondatra. Ebből egy tágabb,
a négy író stílusán is túlmutató következtetést is megkockáztathatunk: a XX.
századi magyar prózában a rövid mondatok fokozottabb alkalmazását,
elterjesztését feltehetőleg a Nyugat írói, Kosztolányi Dezső és társai
fejlesztették stílusnormává. Maga Kosztolányi mondta Négyessy
Lászlóval kapcsolatban: „Nem kedveli – mármint Négyessy László – az akkor divatos, cikornyás
ékesszólást, a „szép” körmondatokat, s ebben a tekintetben közel van hozzánk”11. Az eredmények is arról győznek meg, hogy Krúdy Gyula még a
régebbi, körmondatos (nyelvi) stílusnorma jegyében alkotta meg novelláját, de
már Kosztolányi Dezső meg természetesen Móricz Zsigmond és Nagy Lajos
novellájának stílusa e
tekintetben más stiláris követelményekhez – a dinamikus kifejezésmódhoz
igazodik. Krúdyra az aprólékos, mindenre kiterjedő, részletes leírás jellemző,
s már a novella legelején ilyen hosszú mondatra bukkanhatunk nála:
„Azt mondták neki (az ezredesnek – Zs.T.),
hogy az az újságíró, akit a Kaszinó Angol szobájában halálra ítéltek, és az
ítélet végrehajtását rábízták, az ország legjobb céllövőjére: az újságíró olyan
koldusszegény, hogy tepertőt vacsorázik esténként, papirosból, tízkörmével, a sőt a mellénye zsebében tartogatja, és a
retek, hagyma az íróasztala fiókjában várja, amíg a tepertőt elfogyasztja, jó
borra persze nem telik neki, ezért messzi utakat tesz meg, amíg valamely olcsó
kocsmát elér, ahol hideg bort löttyenthet égő gyomrába.”
Az ezredes elmélkedését, további
gondolkodását, de magát a cselekményt is tulajdonképpen ez a mondat indítja el.
A hős töprengését jobbára ilyen alapossággal és részletességgel ecseteli Krúdy
Gyula szinte mindvégig. Ennek folytán az Utolsó szivar az Arabs szürkénél c. novellában nem a kifejező funkció dominál,
hanem inkább az ábrázoló. Az író a főhős szubjektív érzéseit leírja, ábrázolja
úgy, mintha a szó legszorosabb értelmében mindezt lefestené. A novella
homályát, rejtélyét éppen a sötét színek adják meg. Krúdy feltérképezi az ezredes
hangulatának még a legapróbb rezdüléseit is, de higgadtan, majdhogy „kívülálló”
személyként.
S éppen ez
a higgadtság, szinte tudományos alaposság követeli meg a hosszú mondatokat. Itt
talán nem lesz teljesen érdektelen megjegyezni, hogy a hosszú mondatok gyakori
alkalmazása, valamint a homályos, rejtélyes „leírás” a világirodalom újabb
áramlataiban sem ismeretlen jelenség; elsősorban a francia „új regény” egyes
képviselőinek alkotásaira gondolunk. Claude Simon, de olykor-olykor Alain Robbe-Grillet is jó példa erre.
Persze, ha
diakronikus aspektusból, a magyar szépirodalmi stílus fejlődésének
figyelembevételével ítéljük meg a négy író novellájának általunk vizsgált
mondattani sajátosságát, akkor mindenképpen azt kell mondanunk, hogy
Kosztolányi Dezső, Móricz Zsigmond és Nagy Lajos rövidmondatos stílusa
előrehaladást jelentett Krúdy Gyulával szemben. Más kérdés azonban, hogy a
rövidmondatos stílus mind a három író novellájában másképp funkcionál,
többé-kevésbé eltérő célt szolgál.
Mindez a
további változók (paraméterek) számadataiból is kiderülhet.
4.1.1. A szórásnégyzet, a szórás és főleg a
variabilitás (változékonyság) a korpuszok mondatainak szétszóródásáról, a
diszperzió vagy – a kibernetika terminusával – a varietás
fokáról adnak képet. Ami az átlagtól való eltéréseket, kilengéseket illeti,
ezek természetesen Krúdynál a legnagyobbak, mert hiszen novellájában a hosszú
mondatok gyűrűzése és hömpölygése törvényszerűen nagyobb számadatokat
eredményez. Ennek ellenére a diszperzió, a variabilitás (V) nála a legkisebb,
amit olvasás közben, empirikusan is észlelhetünk. A pontos, tökéletes
ábrázolásra, a dolgok objektív leírására való törekvés az ő novellájában a
legerősebb a többi íróhoz viszonyítva, azokkal szembeállítva. Ugyanakkor a
legváltozatosabb éppen Kosztolányi Dezső szövege; nála a mondatok
változékonysága, az átlagtól való eltérések diszperziója megközelíti a 80%-ot.
Az alábbi részlet kitűnő példa a hosszú és a rövid mondatok váltogatására:
„Caligula már háromkor ébren volt. Sohase
tudott tovább aludni. Rémképek, lidérces álmok gyötörték. Néhány órai nyugtalan
alvás után fölkelt, végigvitette magát palotája termein, fáklyák, lámpák
világánál, szolgáit elküldette, egyedül bolyongott tovább, görnyedt-púpos
hátával, ide-oda, mint egy lidérces álom hórihorgas rémképe, az ingó-sovány
lábain. Várta a hajnalt.
Kikönyökölt az ablakon. A fagyos,
ólomszürke januári égbolton ott volt az ő tündöklő kedvese, akit mindig
szeretett volna karjaiba zárni, a Hold, de az nem nézett rá, piszkos-zöld
fellegek közt rohant Róma fölött. Ő beszélt hozzá, hangtalanul, a folyton höbögő nyelvével.
Közben megvirradt.”
E rövid
részlet azt is ékesen bizonyítja, hogy a Caligula c. novella fentebb említett markáns stílussajátossága
tulajdonképpen nemcsak a mondat szintjén jelentkezik, hanem kiterjed a
kompozícióra is. Erről tanúskodik az idézet is, amely felöleli az egész 3.
részt. Megfigyelhetjük például, hogy az első szakaszt 5, a másodikat 3, de a
harmadikat már csak 1 rövid, két szóból álló mondat alkotja. De egyébként is a
novella egész szerkezete, felépítése tagolt, rendkívül változatos; a kurta
írásmű ugyanis 11 részből tevődik össze. Ez a tagoltság, változatosság
dinamikussá teszi a cselekmény kifejtését, annál is inkább, mert minden rész
újabb mozzanattal viszi tovább az eseménysort a tematikai kontraszt (az egyik
pólus Caligula egyeduralma, a másik alattvalóinak elégedetlensége)
kiéleződéséig, tetőpontjáig, vagyis Caligula megöléséig, haláláig.
Nagy Lajos, akinél a téma elfojtott, látszólag széteső, csak apró
jelzések, utalások alapján fejthető meg, szintén színesen és meglepetésszerűen
váltogatja a rövidebb és hosszabb mondatokat. Az ő esetében ez expresszionista
stílussajátosság, persze nem elszigetelten, izolálva, hanem a többi
stílusjeggyel együtt, azokkal koherenciát alkotva. Móricz Zsigmond stílusa
viszont már nem olyan változatos, ami végeredményben a ritmussal összefüggő
ismétlődéssel magyarázható, azzal korrespondeál. Az
ismétlődés nála valóban általános tünet, markáns stílusjegy, hiszen
hellyel-közzel az ismétlődési alakzatok is helyet kapnak novellájában. A Barbárok c. novellában tehát a líraiság ilyen kézzelfogható
módon is kifejeződik. Az író ÉN-je, szubjektív
érzésvilága legerősebben és legadekvátabban az asszony férje és gyermeke iránti
szeretetébe, hozzájuk való egyszerű, de annál mélyebb ragaszkodásába
transzformálódik bele; s az írásmű ott és akkor válik igazán balladaszerűvé,
amikor a meggyilkolt juhász felesége elindul keresni férjét. Ennek a mély
emberi érzésnek, ragaszkodásnak az ecsetelésére használja fel az író az
ismétlődési alakzatokat. Erről legékesebben a következő idézet tanúskodik,
amelyben az anafora, az epifora, az epanasztrofa és a poliptoton
hatásosan variálódnak és kombinálódnak, s ezzel a szövegrészben lényegesen
felerősödik és kidomborodik a kifejező funkció. Íme, az idézet:
„Az asszony pedig ment, ment, elment. Elveszett a nagy pusztán. A nap egyre feljebb hágott az égen, s nézte,
ahogy a fekete asszony vászon fehérben tovább ballagott a pusztán. Az pedig csak ment, csak ment. Haza se nézett, csak elment, addig ment, míg a puszta el nem
nyelte. Addig
ment, addig ment, míg el
nem érte a Dunát. Azon is átalment, ladikos embert lelt, az áttette. És ment.
Ment, amerre hallotta, hogy juhászok szoktak
legeltetni.
Ment az egész nyáron, ment, amíg csak a hó le nem esett, minden fődet bejárt, minden nyájat megkeresett, minden juhásszal leült s megkérdezte, ilyen meg ilyen derék kis
hallgatag embert a háromszáz juhával.”
A szövegrészben az ismétlődés
magva, hordozója a ment ige, de
ez korántsem azt jelenti, hogy egyéb lexikális elemeknek a rekurrencia
előidézésében, az (esztétikai) információtartalom kifejezésében és
kifejeződésében nincs funkciójuk. A 2. és a 3. mondat végén például a „pusztán” szóalak helyezkedik el epiforaként,
ugyanakkora csak,
addig, minden lexémák ismétlése más szavak, szóalakok társaságában
szupraszegmentális szinten (hangsúlyozás) éppúgy esztétikai funkciót tölt be.
Kétségtelen persze, hogy az olvasó az esztétikai információtöbblet érzékelésére
a témán keresztül hangolódik rá, a megrázó történet egyes motívumai hatnak rá
elsődlegesen; de – amint látjuk – a szöveg esztétikai velejáróját itt a nyelvi
elemek is kifejezik, azok erősítik fel.
Felmerülhet a kérdés, vajon a Krúdy-novellában nem találunk-e
ilyen szóismétléseket. Szóismétlések, mondatpárhuzamok ugyan ebben az írásműben
is előfordulnak, ellenben az Utolsó szivar az Arabs szürkénél c. novellában az effajta ismétlődés
akusztikai-esztétikai szinten aligha funkcionál, mert a megismétlődő elem(ek) közé oly sok szó, szóalak, illetőleg olykor mondat is
kerül, hogy az olvasó emiatt magát az ismétlődést sem igen tudja percipiálni.
Így Krúdy novellájában a mondatpárhuzamnak hasonló szerepe és jelentősége van,
mint a tudományos stílusban. Az elmondottakra egy példát hozunk fel, ahol a mert kötőszó ismétlődik mint mellékmondatot nyitó elem. Íme:
„Ezzel a szivargyújtási jelenettel körülbelül
végeztünk is az Arabs szürkével és mindazokkal az urakkal, akik oda a város
különböző részeiből megérkezendők voltak, mert erre nézve belső ösztönzésük volt. Bizonyos, hogy a klinikai
szolgák végtére megérkeztek, mert még a klinikán sem boncolnak éjjel-nappal. Megjöttek a város
különböző részeiből a hullaszállító-kocsisok, mert hiszen a hullaszállításban is bekövetkezik némi szünet. ”
Bár a kiválasztott idézetben a paralelizmus
valóban stilisztikai jellegzetesség, mégsem bizonyul olyan erős és szembetűnő
stílusjegynek, mint a Móricz Zsigmondtól már előbb közölt szövegrészben. A
Móricz-idézetben ugyanis az ismétlődő elemek összetartozása, kohéziója sokkalta
evidensebb tulajdonsága a szövegnek.
4.2. Amit a novellákról eddig az eredmények
kapcsán elmondottunk, némi eltéréssel és kiigazítással a párbeszédekre is
érvényes. Csakhogy a párbeszédekben a mondatok hosszának az átlaga az előző
eredményekhez képest a felére csökken; ennek következtében természetesen a
többi változó értéke is kisebb. Ez az értékcsökkenés azzal magyarázható, hogy a
dialógusokban az írók rendszerint igyekeznek valamelyest megközelíteni az
élőbeszédet. A beszélgetések, társalgások során viszont túlsúlyban vannak a
rövid mondatok; ráadásul e mondatok diszperziója sem igen jelentős,
szembeszökő. A táblázat szerint az írók az ebből adódó követelményeket a
dialógusok megszerkesztésében és összeállításában figyelembe vették,
többé-kevésbé respektálták. Kivételt csak Kosztolányi Dezső variabilitási indexszáma
(V = 0,8178) képez, amely azt bizonyítja, hogy az összes vizsgált korpuszok
közül éppen az ő párbeszédei a legváltozatosabbak. Ebből törvényszerűen
következik, hogy Kosztolányi Dezső párbeszédei (egy helyütt monológja)
stilisztikai jellegzetességükkel aligha hasonlítanak az élőbeszédre – a
köznyelvre. Sőt, ellenkezőleg, a választékosság, az exkluzivitás jellemzi őket.
Erről egyébként akkor is meggyőződhetünk, ha megvizsgáljuk a párbeszédek
szókincsét, szókapcsolatait. Cassius „monológjából”
felsorolunk legalább néhány szót, szóalakot, illetőleg szintagmát annak
bizonyítására, hogy a szöveg nemcsak szintaktikai, hanem lexikális és
grammatikai szinten is kissé „könyvízű”, tehát emelkedett és választékos. Ilyen
stilisztikai értéket tartalmaznak és sugároznak ki a következő kifejezések: száműzette; éhenhalásra ítélte; nem
szidalmazom-e; hallgatag aggastyán; birtokolom; megriadjak önmagamtól; jó
tréfát is műveltem; képmásomat tétettem oda; evickélnek a halálba;
márványistállót építtettem, elefántcsontjászolt;
álomszerző italt; stb.
Természetesen a Cassius-monológban nemcsak ezek a
kifejezések, hanem a kontextus irradiációja folytán a különben semleges vagy
más hangulati velejáróval rendelkező nyelvi eszközök is a választékosság
irányában hatnak, ilyen jellegűvé válnak.
5. A négy író stílussajátosságai és
-jellegzetességei szembetűnően megmutatkoznak a
melléknevek és a főnevek, a főnevek és az igék, valamint a melléknevek és az
igék arányának a kiszámítása kapcsán (4. táblázat). Az eredmények jól és
meggyőzően dokumentálják a novellák különböző és eltérő nyelvezetét, stílusát.
5.1. Bizonyos fenntartásokkal feltételezzük,
hogy a melléknév jelzői funkcióban elsősorban díszítő eleme a szövegnek. Igaz,
a melléknév ízessé és zamatossá teheti egy-egy író stílusát; ugyanakkor mind az
ortodox nyelvészet, mint az újabb, történetesen a generatív grammatika
értelmében is főként abban az esetben emelkedik a melléknevek százalékaránya, ha a szöveg hosszúra nyújtott, explicit,
terjengős, tehát a szó, illetőleg a mondat szintjén „redundáns”. Persze, ezzel
nem azt akarjuk állítani, hogy a melléknevek frekvenciájának a növekedése
feltétlenül a megszokott és elnyűtt ábrázolásmód, a konvencionális „kód”
felerősödéséhez vezet, hiszen a jelző nemegyszer metafora, metonímia, szinesztézia
stb. formájában éppen az innováció hordozója és az esztétikum forrása lehet.
Köztudomású, hogy a jelzőt ilyen célokra mindenekelőtt az impresszionizmus
használta fel. Ebből adódik, hogy a melléknevek és a főnevek arányát illető
indexszámok elsősorban Krúdynál és Kosztolányinál nagyok. Az sem meglepő, hogy
Krúdy indexszáma (0,391) meghaladja a Kosztolányiét (0,349), hiszen Kosztolányi
stílusa nem kötődik teljesen és kizárólagosan az impresszionista
stílusirányzathoz. Idővel őt érték más hatások – többek között a freudizmus is
mély nyomokat hagyott művészetében -, amelyek az expresszív kifejezésmód
irányában fejlesztették stílusát.
Az alsó
határt itt is Móricz Zsigmond számadata jelenti, ami annak a következménye,
hogy a Barbárok c. novellában a rövid, egyszerű közlésforma
van túlsúlyban; a tények felsorolásakor viszont a melléknevek ritkán, elvétve
jutnak szerephez . Az adiectivumok elhagyása végső
fokon szintén összefüggésbe hozható a szöveg rövidmondatos és ritmusos
jellegével. Ha ebből indulunk ki, szinte természetesnek vesszük, hogy Móricz
Zsigmond számadatához Nagy Lajosé áll a legközelebb .
5.1.1. A párbeszédekben Krúdy Gyulánál és
Móricz Zsigmondnál csökken a melléknevek frekvenciája, ellenben Kosztolányi
Dezsőnél éppen énnek az ellenkezőjét tapasztaljuk. Az előbbi két írónál a
változást a kurta, egyszerűbb közlésforma okozza, vagyis az, hogy
dialógusaikban az implicit kifejezésmód erősödik fel. Kosztolányi Dezső
párbeszédeiben viszont jócskán emelkedik a melléknevek százalékaránya, ami megintcsak a Cassius-monológgal
magyarázható, arra vezethető vissza.
5.2. A főnevek és az igék aránya érdekes olyan
szempontból, hogy ezekre az eredményekre lehet leginkább támaszkodni a szöveg
nominális vagy verbális jellegének a megítélésekor. A táblázat szerint Krúdy
Gyula, Kosztolányi Dezső és Nagy Lajos stílusára a nominalitás
jellemző; velük szemben Móricz Zsigmondnál az igék szokatlanul nagy
frekvenciája tapasztalható. Kissé meglepő a Nagy Lajosra vonatkozó eredmény,
hiszen az ő indexszáma ebben az esetben meghaladja a Kosztolányiét és eléggé
megközelíti a Krúdyét. Ennek okát azonban nem is olyan nehéz megfejteni. A Január c. novellában a nominális szerkezetek
túltengését és az igék hiányát kiváltképpen két tényező determinálja: a) a novella magán viseli az expresszionizmus tipikus stiláris
sajátosságait: gyakori benne például az ellipszis, az ige nélküli mondat; b)
Nagy Lajos novellája pamfletszerű, kissé publicisztikai élű írás; a
publicisztikai stílus viszont informatív, tényközlő funkciójánál fogva kedveli
a névszói állítmányt. E stílussajátosságoknak a bemutatására két részletet
választottunk ki a novellából.
„Január átlagos csapadékmennyisége 38 mm. Az
erősen havas januárok rendesen igen hidegek is. A napsütéses órák száma már
valamivel több, mint decemberben.
A légnyomás ebben a hónapban éri el
a legmagasabb mértékét. Eddigi maximuma 79,3 mm. Fejünkön és mellünkön az
óriási légoszlop súlya, tetézve a kenyér árával, a házbérrel, a holnap kilátástalanságával
s a tudattal, hogy ez így megy már húszezer év óta...”
„Január 14. Az értékpapír-forgalmiadó 1929
december haváról lefizetendő. Jaj, nehogy elfelejtsük!
Január 15. A fényűzési adó
befizetése 1929 december haváról.”
5.2.1. Érdekes tanulságokkal szolgálnak a
főnevek és az igék arányát illetően a párbeszédekre vonatkozó számadatok. Krúdy
Gyulánál a várakozásnak megfelelően ez az indexszám nagy, de Kosztolányi
Dezsőnél lényegesen csökken az értéke, olyannyira, hogy e tekintetben még
Móricz Zsigmondon is „túltesz”. Ez azzal magyarázható, hogy Kosztolányinál a párbeszédbe
illesztett monológ jobbára a történés, illetve a megtörtént dolgok, események
elmondására szorítkozik. Valaminek az elmondása viszont a szövegben elsősorban
az igék számát duzzasztja fel és szaporítja el.
5.3. Hátra van még a melléknevek és az igék
arányából származó eredmények tárgyalása és magyarázása. Ez az, amit a
szakirodalom Busemann-féle koefficiensként12 tart számon; s a legújabb kiadványokban ezzel
a koefficienssel gyakorta találkozhatunk. A Busemann-féle
koefficiens aránylag pontosan és híven tükrözi a szövegek dinamikus vagy
statikus jellegét, aszerint, hogy a koefficiens számértéke emelkedik-e vagy
csökken. Krúdy Gyula stílusa valóban a legvontatottabb, ennélfogva
legstatikusabb; s ezt a rá vonatkozó számadat is ékesen bizonyítja. A számadatok
szerint Kosztolányi Dezső és Nagy Lajos (nyelvi) stílusa dinamizmus
tekintetében rokon, de ehhez hozzá kell fűznünk, hogy e stílussajátosság mind a
két író művében másképp jelentkezik. Talán nem kell különösebben hangsúlyozni,
hogy Móricz Zsigmond (nyelvi) stílusa a legdinamikusabb, leggördülékenyebb;
novellájának ez a sajátossága egyébként a kompozícióra is kiterjed olykor.
Erről tanúskodik a rövid, sokszor egy mondatból álló szakaszok váltakozása is,
ami különösen szembetűnő az utolsó pointe előtti
részben, vagyis ott, ahol a juhász beismeri tettét – a gyilkosságot.
5.3.1. A párbeszédekkel kapcsolatosan a
következő konklúziót vonhatjuk le: a dialógusokra vonatkozó indexszámok törvényszerűen
kisebbek, mégpedig azért, mert a párbeszédek jobban megközelítik a társalgási
stílus „szellemét”, jellegzetességeit. A társalgási stílusra meg általában az
jellemző, hogy benne az igék százalék -aránya
felszökken, míg a mellékneveké, illetve jelzőké esik. A további tanulság az,
hogy a Krúdy-Kosztolányi-Móricz sorrend itt sem
változik meg.
6. Statisztikai elemzésünk
eredményeit röviden így foglalhatjuk össze: A XX. századi magyar irodalom
nyelvének „lírizálódása” a négy novella vizsgálata
kapcsán is nyilvánvaló. A (nyelvi) stílus líraiságát elsősorban a ritmus
megléte vagy hiánya, a mondatok hossza és variabilitási foka, valamint a
stilisztikailag legpregnánsabb szófajok vizsgálata alapján igyekeztünk
felfedni. Kutatásaink eredményei ilyen következtetések levonását teszik
lehetővé:
a) A ritmus megköveteli az ismétlődés, a redundanciát és a
rövid szavak, illetve szóalakok fokozottabb alkalmazását. Ezen a téren a
legkedvezőbbek a Móricz Zsigmondra és részben a Nagy Lajosra vonatkozó
eredmények.
b) A
ritmus valószínűsége a szövegben annál nagyobb, minél jobban emelkedik az 1, 2
és a 3 szótagú szavak, illetve szóalakok előfordulása, e szótípusok
százalékaránya. Ilyen alapon is főképpen Móricz Zsigmond és Nagy Lajos
eredményei sejtetik a ritmust.
c) A
mondatok hosszának a vizsgálata arról győz meg, hogy Móricz Zsigmond, Nagy
Lajos és Kosztolányi Dezső átlagban rövidebb mondatokból, ellenben Krúdy Gyula
jóval hosszabb mondatokból építik fel a szöveget. A rövidmondatos szöveg
általában ritmikusabb, ritmikailag relevánsabb.
d) A
hosszabb mondatokban különösen a nominális elemek szaporodnak el; viszont ha az
ige van túlsúlyban, akkor a szöveg dinamikusabb, s ennélfogva ritmikusabb is. A
melléknév nagyobb frekvenciája az impresszionista ábrázolásmód jellemző
sajátossága (Krúdy, Kosztolányi); a főnevek gyakorisága az igék rovására a nominalitást szignalizálja
(Krúdy, Nagy Lajos); a Busemann-féle koefficiens a
szöveg kisebb vagy nagyobb dinamizmusát tükrözi (Krúdy ellenpólusa ilyen alapon
Móricz Zsigmond).
A
statisztikai eredményekből persze axiológiai
következtetéseket nehéz levonni, de ahhoz aligha férhet kétség, hogy a
számadatok segítségével fel lehet tárni a novellák stiláris sajátosságait,
jellegzetességeit. Az egzakt vizsgálatoknak tehát fontos szerepük van a
stíluskutatásban.
Táblázatok
1.
A szavak
hosszának számtani középértéke, entrópiája és redundanciája
|
|
i |
H0 |
H1 |
h |
R |
|
Krúdy Gyula |
2,33 |
2,8059 |
2,1797 |
0,7768 |
0,2232 |
|
Kosztolányi Dezső |
2,33 |
2,8059 |
2,1976 |
0,7832 |
0,2168 |
|
Móricz Zsigmond |
1,97 |
2,5908 |
1,8960 |
0,7318 |
0,2682 |
|
Nagy Lajos |
2,36 |
3,3219 |
2,2280 |
0,6707 |
0,3293 |
|
Párbeszéd: |
|
|
|
|
|
|
Krúdy Gyula |
2,20 |
2,3219 |
2,0318 |
0,8751 |
0,1249 |
|
Kosztolányi Dezső |
2,38 |
2,3219 |
2,1041 |
0,9062 |
0,0938 |
|
Móricz Zsigmond |
1,85 |
2,0000 |
1,7082 |
0,8541 |
0,1459 |
2.
Az 1, 2, 3
... n szótagból álló szavak megterheltsége %-ban:
|
1 |
2 |
3 |
4 |
5 |
6 |
7 |
8 |
9 |
10 |
|
|
K.Gy. |
31,24 |
29,71 |
21,06 |
11,71 |
5,03 |
1,12 |
-- |
0,14 |
-- |
-- |
|
K.D. |
34,04 |
25, 77 |
22,08 |
11,65 |
4,60 |
1,53 |
0,30 |
-- |
-- |
-- |
|
M.Zs. |
41,05 |
33,02 |
16,35 |
7,41 |
1,54 |
0,62 |
-- |
-- |
-- |
-- |
|
N.L. |
33,53 |
28,48 |
24,33 |
6,23 |
3,56 |
1,48 |
0,59 |
0,29 |
0,88 |
0,59 |
|
Párbeszéd |
||||||||||
|
K.Gy. |
33,67 |
29,65 |
22,11 |
12,06 |
2,51 |
-- |
-- |
-- |
-- |
-- |
|
K.D. |
30,76 |
22,11 |
28,84 |
14,42 |
3,84 |
-- |
-- |
-- |
-- |
-- |
|
M.Zs. |
42,06 |
36,51 |
15,87 |
5,56 |
-- |
-- |
-- |
-- |
-- |
-- |
3.
A mondatok
hosszának középértéke, szórása és variabilitása
|
|
n |
j |
s2 |
s |
V |
|
Krúdy Gyula |
31 |
22,48 |
164,80 |
12,83 |
0,5708 |
|
Kosztolányi Dezső |
30 |
10,73 |
70,29 |
8,38 |
0,7809 |
|
Móricz Zsigmond |
31 |
10,42 |
35,84 |
5,98 |
0,5739 |
|
Nagy Lajos |
33 |
10,27 |
38, 62 |
6,22 |
0,6056 |
|
Párbeszéd: |
|
|
|
|
|
|
Krúdy Gyula |
16 |
11,75 |
34,43 |
5,87 |
0,4995 |
|
Kosztolányi Dezső |
20 |
5,05 |
17,08 |
4,13 |
0,8178 |
|
Móricz Zsigmond |
21 |
5,71 |
9,96 |
3,16 |
0,5534 |
4.
A
melléknevek és a főnevek, a főnevek és az igék, a melléknevek és az igék aránya
|
mn/fn |
fn/ige |
mn/ige |
|
|
Krúdy Gyula |
0,391 |
1,960 |
0,765 |
|
Kosztolányi Dezső |
0,349 |
1,458 |
0,509 |
|
Móricz Zsigmond |
0,254 |
0,947 |
0,240 |
|
Nagy Lajos |
0,299 |
1,702 |
0,509 |
|
Párbeszéd: |
|||
|
Krúdy Gyula |
0,320 |
1,667 |
0,533 |
|
Kosztolányi Dezső |
0,435 |
0,920 |
0,400 |
|
Móricz Zsigmond |
0,115 |
0,929 |
0,107 |
1 Vö. Jurij Lotmann: Lekcii po sztrukturalynoj poetyike. Trudi po znakovim szisztemam, I. Tartu 1964. 90-117.; Hankiss Elemér: A népdaltól az abszurd drámáig. Magvető Kiadó, Bp. 1969. 43-72.
2 Lásd Fónagy Iván: A költői nyelv hangtanából. Akadémiai Kiadó, Bp. 1959. 146-147.
3 Itt Miko stíluskoncepciója szolgál kiindulópontul, amely szerint a szépirodalmi mű értékrendszere főként három stíluskategória alapján – a kontraszt, a mérték és a variabilitás (innováció) felfedése segítségével – tárható fel. Vö. Frantisek Miko: Estetika vyrazu. Slovenské pedagogické nakladatel’stvo, Bratislava 1969. 31-32.; 184-197.
4 Vö. W. Ross Ashby: Kybernetika (An Introduction to Cybemetics). Orbis, Praha 1961. 62-63.
5
A számításokat a következő képletek segítségével végeztem:

A képletek bővebb ismertetését, jelentőségét, valamint gyakorlati alkalmazását lásd a következő tanulmányokban: Ján Horecky: Úvod do matematickej lingvistiky. (Egyetemi jegyzet.) Bratislava 1969 . 83-86.; Bulcsú László: Broj u jeziku. In Strojno prevodenje i statistika u jeziku. Szerk. Bulcsú László és Svetozar Petrović. Naše teme, Zagreb 1959. 128-137.; František Štraus – Ján Sabol: Vol'nỳ verš v súčasnej slovenskej poézii. In: Rytmus a metrum. Litteraria XI. Vydatel'stvo SAV, Bratislava, 1968. 82-83.
6 Hasonló számításokat magyar szövegeken Vértes Edit végzett. Vö. Vértes Edit: Adalékok a magyar nyelv hangtani szerkezetéhez. Nyelvtudományi Közlemények. LIV. kötet. Budapest 1953. 118-120. – Szabolcsi Miklós József Attila Eszmélet c. versét ilyen alapon szintén megvizsgálta. (A verselemzés kérdéseihez. Akadémiai Kiadó, Bp. 1968. 113.)
7 Persze ez csak abban az esetben igaz, ha elfogadjuk, hegy a hangsúlynak is fontos szerepe van a XX. századi magyar irodalomban. Ezzel kapcsolatban lásd Gáldi László Ismerjük meg a versformákat c. művét. (Gondolat Kiadó, Bp. 1961. 111-112.)
8 A költészetre is érvényes, hogy minél rövidebbek a verssorok, annál erősebb ritmikai impulzust sugallnak, annál „líraibbak”. Megállapították például, hogy a lengyel költészetben a XVI. századtól kezdve a hosszabb verssorok általában az epikai, a rövidebbek meg a lírai műfajokban fordulnak elő. Vö. Lucylla Pszczolowska: Dlugość wersu a budowa zdania. In: Poetyka i metamatyka. Szerk. M.R. Mayenowa. Państwowy Instytut Wydawniczy, Warszawa 1965 . 79-80.
9 Ezt látszanak igazolni Wilhelm Fucks és Josef Lauter számításai is, amelyeket a szerzők német nyelvű szövegeken végeztek. Vö. Wilhelm Fucks —Josef Lauter: Mathematische Analyse des literarischen Stils. In: Mathematik und Dichtung. Nymphenburger Verlagshandlung, München, 1969. 114-115.
10
A szórásnégyzetet, a szórást és a variabilitást a következő
képletek segítségével lehet kiszámítani:

A képletek gyakorlati alkalmazására vonatkozó utasításokat a következő művekben lehet találni: Otto von Essen: Statistische Rechnungen in der Phonetik. Zeitschrift für Phonetik, Sprachwissenschaft und Kommunikationsforschung, 1 -2. füzet. Akademie-Verlag, Berlin 1967. 10-11.; F. Štraus – J. Sabol: i.m. 120-124.
11 Idézi Balázs János a Történeti bevezető c. tanulmányában. (Stilisztikai tanulmányok. Gondolat, Bp. 1961. 33.)
12 Vö. Hardi Fischer: Entwicklung und Beurteilung des Stils. In: Mathematik und Dichturig... 171-172., 178-179.; Friederike Antosch: The Diagnosis of literary with the Verb-Adjective Ratio. In: Statistics and Style. Szerk. Lubomír Doležel és Richard W. Bailey. American Elsevier Publishing Company, New York 1969. 57-65.